第二章  第二节  平面机构运动简图

鼠标双击自动滚屏

 

一、用规定的符号和线条按一定的比例表示构件和运动副的相对位置,并能完全反映机构特征的简图。

二、绘制:

1、运动副的符号

转动副:

    

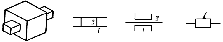
移动副:

    

齿轮副:

   

凸轮副:

2、构件(杆):

3、机构运动简图的绘制,(模型,鄂式破碎机)

 

1)分析机构,观察相对运动;

2)找出所有的构件与运动副;

3)选择合理的位置,即能充分反映机构的特性;

4)确定比例尺,

           

5)用规定的符号和线条绘制成间图。(从原动件开始画)

 

上一节
下一节

 

四川机电职业技术学院机械工程系                   四川省攀枝花市    (0812)6251577